关于2020-2021学年度完美邮箱校园营销挑战赛加分证明的公示
日期:2021-09-01 作者:团学新媒体工作部 罗淳 来源: 浏览量:44
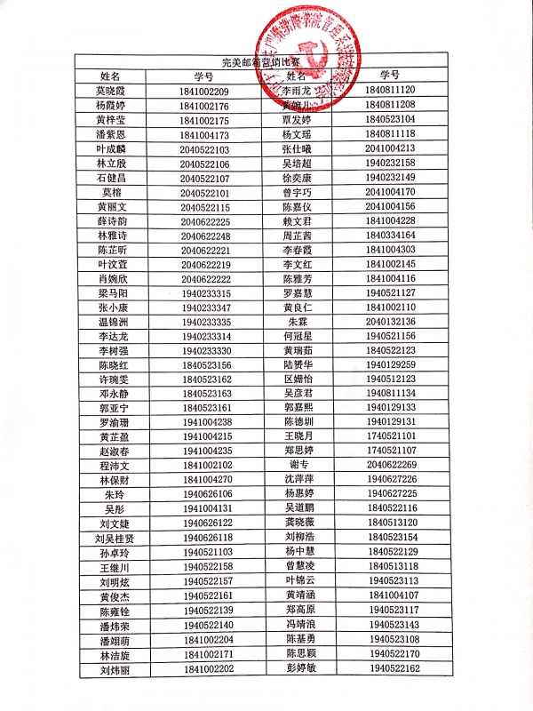
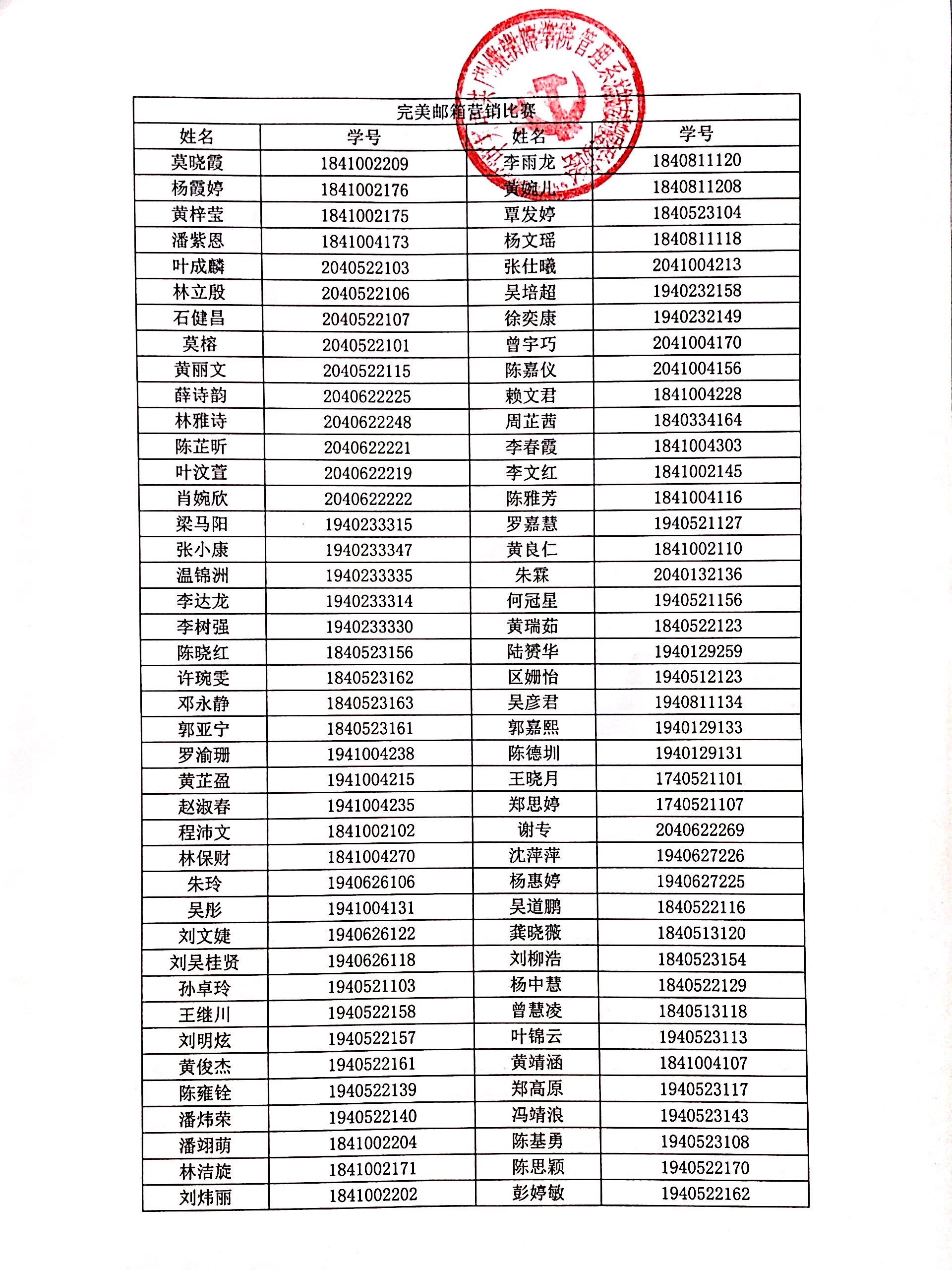
以下同学于2020-2021学年积极参加完美邮箱校园营销挑战赛,感谢各位同学对本次大赛的支持,参与活动相应可加综合测评分。以下为公示名单:
如对此公示结果有异议或建议,请于3日内(2021年9月2日至2021年9月5日)联系负责人。
联系方式:罗淳 15113596999
- 上一篇:新生爆照征集 | 寄语...
- 下一篇:关于更新2021-2022学...


